中国机械工程 ›› 2025, Vol. 36 ›› Issue (11): 2477-2485.DOI: 10.3969/j.issn.1004-132X.2025.11.001
• 机械基础工程 •
收稿日期:2025-05-21
出版日期:2025-11-25
发布日期:2025-12-09
通讯作者:
张泉
作者简介:秦 斌,男,1990年生,副教授、博士研究生导师。研究方向为高压二氧化碳流动与传热等。E-mail:qinbin@csu.edu.cn基金资助:
Bin QIN(
), Jiaxu HAO, Jingwen LIN, Quan ZHANG(
)
Received:2025-05-21
Online:2025-11-25
Published:2025-12-09
Contact:
Quan ZHANG
摘要:
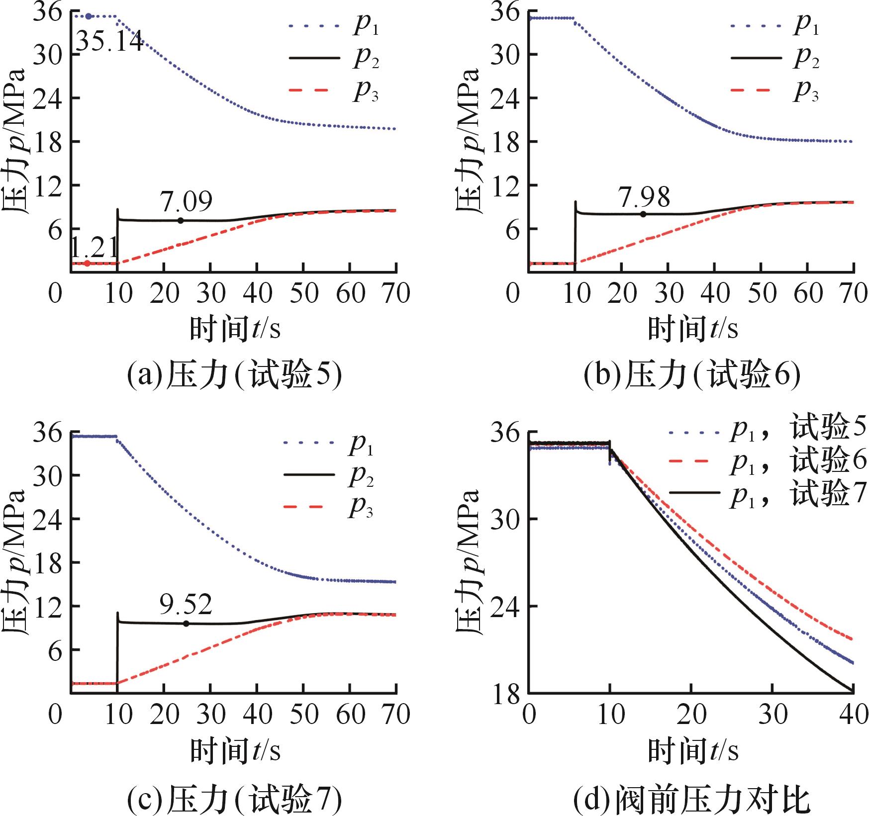
气体管路系统中常使用减压阀来控制下游压力,目前常规小型减压阀的降压幅度较小,难以满足超高压下的降压需求。提出了一种超高压条件下输出压力可调的小型减压阀,其输入压力为19~60 MPa,输出压力为7~13 MPa。通过建立试验平台、设置不同的减压阀上游压力和下游阻力,研究了减压阀在四类工况下工作性能的稳定性以及特性参数的变化。经过试验验证,该减压阀可以在超高压使用场景下维持下游压力稳定,管路接通后减压阀的响应时间为0.5~6.0 s,响应后10 s内的压力波动幅度为0.12%~4.49%。结果表明:减压阀阀后压力变化趋势与上游压力有关,上游压力减小时输出压力先减小再增大,上游压力稳定时输出压力有减小的趋势。研究结果可指导该型减压阀在气体管路系统中的应用。
中图分类号:
秦斌, 郝嘉旭, 林静雯, 张泉. 多工况下气体减压阀特性试验研究[J]. 中国机械工程, 2025, 36(11): 2477-2485.
Bin QIN, Jiaxu HAO, Jingwen LIN, Quan ZHANG. Experimental Study of Characteristics of Gas Pressure Reducing Valves under Different Working Conditions[J]. China Mechanical Engineering, 2025, 36(11): 2477-2485.
| 参数 | 数值 |
|---|---|
| 入口压力/MPa | 19~60 |
| 出口压力/MPa | 7~13 |
| 工作温度/℃ | -40~50 |
| 壳体强度/MPa | ≥105 |
| 质量/kg | 1.07 |
| 过滤精度/μm | 30 |
表1 减压阀主要参数
Tab.1 Main parameters of pressure reducing valve
| 参数 | 数值 |
|---|---|
| 入口压力/MPa | 19~60 |
| 出口压力/MPa | 7~13 |
| 工作温度/℃ | -40~50 |
| 壳体强度/MPa | ≥105 |
| 质量/kg | 1.07 |
| 过滤精度/μm | 30 |
| 工况 | 压力条件 | 上游压力 | 下游压力 |
|---|---|---|---|
| 工况1 | 上游压力减小,下游背压不变 | ![]() | ![]() |
| 工况2 | 上游压力减小,下游背压不变 | ![]() | ![]() |
| 工况3 | 上游压力减小,下游背压增大 | ![]() | ![]() |
| 工况4 | 上游压力减小,下游背压减小 | ![]() | ![]() |
表2 压力条件与预期效果
Tab.2 Pressure conditions and expected effects
| 工况 | 压力条件 | 上游压力 | 下游压力 |
|---|---|---|---|
| 工况1 | 上游压力减小,下游背压不变 | ![]() | ![]() |
| 工况2 | 上游压力减小,下游背压不变 | ![]() | ![]() |
| 工况3 | 上游压力减小,下游背压增大 | ![]() | ![]() |
| 工况4 | 上游压力减小,下游背压减小 | ![]() | ![]() |
| 试验 | 工况 | 上游初始压力/MPa | 减压阀设置 | 下游初始背压/MPa |
|---|---|---|---|---|
| 试验1 | 工况1 | 40.5 | 挡位1 | |
| 试验2 | 工况1 | 40.4 | 挡位2 | |
| 试验3 | 工况2 | 19.0 | 挡位2 | |
| 试验4 | 工况2 | 18.7 | 挡位5 | |
| 试验5 | 工况3 | 35.1 | 挡位1 | 1.2 |
| 试验6 | 工况3 | 34.9 | 挡位2 | 1.2 |
| 试验7 | 工况3 | 35.2 | 挡位3 | 1.2 |
| 试验8 | 工况4 | 52.1 | 挡位4 | |
| 试验9 | 工况3 | 32.0 | 挡位4 | |
| 试验10 | 工况3 | 32.0 | 挡位5 |
表3 试验初始工况
Tab. 3 Initial conditions of the experiment
| 试验 | 工况 | 上游初始压力/MPa | 减压阀设置 | 下游初始背压/MPa |
|---|---|---|---|---|
| 试验1 | 工况1 | 40.5 | 挡位1 | |
| 试验2 | 工况1 | 40.4 | 挡位2 | |
| 试验3 | 工况2 | 19.0 | 挡位2 | |
| 试验4 | 工况2 | 18.7 | 挡位5 | |
| 试验5 | 工况3 | 35.1 | 挡位1 | 1.2 |
| 试验6 | 工况3 | 34.9 | 挡位2 | 1.2 |
| 试验7 | 工况3 | 35.2 | 挡位3 | 1.2 |
| 试验8 | 工况4 | 52.1 | 挡位4 | |
| 试验9 | 工况3 | 32.0 | 挡位4 | |
| 试验10 | 工况3 | 32.0 | 挡位5 |
| 工况 | 减压阀压力特性 | 原因分析总结 |
|---|---|---|
| 工况1/3/4(上游压力减小) | ![]() | 前期活塞带动阀芯向上移动,减压阀开度减小,阀后压力减小。后期阀前压力减小,弹簧力大于阀前压力,开度增大,阀后压力增大 |
| 工况2(上游压力不变) | ![]() | 阀前压力对活塞施加力不变,活塞位置不变,开度不变,阀后压力不变 |
| 闭锁状态下启动(上游压力减小) | ![]() | 闭锁时环缝开度为0,阀后压力减小后,弹簧力使阀芯往下移动,节流环缝开度变大,阀后压力增大 |
表4 试验结果及分析汇总
Tab. 4 Summary of experimental results and analysis
| 工况 | 减压阀压力特性 | 原因分析总结 |
|---|---|---|
| 工况1/3/4(上游压力减小) | ![]() | 前期活塞带动阀芯向上移动,减压阀开度减小,阀后压力减小。后期阀前压力减小,弹簧力大于阀前压力,开度增大,阀后压力增大 |
| 工况2(上游压力不变) | ![]() | 阀前压力对活塞施加力不变,活塞位置不变,开度不变,阀后压力不变 |
| 闭锁状态下启动(上游压力减小) | ![]() | 闭锁时环缝开度为0,阀后压力减小后,弹簧力使阀芯往下移动,节流环缝开度变大,阀后压力增大 |
| [1] | JANUS T, ULANICKI B. Improving Stability of Electronically Controlled Pressure-reducing Valves through Gain Compensation[J]. Journal of Hydraulic Engineering, 2018, 144(8): 04018053. |
| [2] | KHAN H A, YUN S N, JEONG E A, et al. A Novel Design and Performance Evaluation Technique for a Spool-actuated Pressure-reducing Valve[J]. Actuators, 2021, 10(9): 232. |
| [3] | XU Enle, NIE Chenglei, JIANG Xiaofeng, et al. Theoretical Investigation on the Throttle Pressure Reducing Valve through CFD Simulation and Validating Experiments[J]. Korean Journal of Chemical Engineering, 2021, 38(2): 400-405. |
| [4] | GAD O. Modeling of Impact of the Poppet Element on Its Seat Body in Pressure Relief Valves[J]. Proceedings of the Institution of Mechanical Engineers, Part I: Journal of Systems and Control Engineering, 2021, 235(5): 703-720. |
| [5] | QIAN Jinyuan, WEI Lin, ZHANG Ming, et al. Flow Rate Analysis of Compressible Superheated Steam through Pressure Reducing Valves[J]. Energy, 2017, 135: 650-658. |
| [6] | DESAI S, DESAI A, KARANDE V. Design and Weight Optimization of Buffer Relief Valve Using FEA with Experimental Validation[J]. Materials Today: Proceedings, 2020, 27: 1466-1472. |
| [7] | ZHANG Yanhong, LIU Bin, SHE Xiaohui, et al. Numerical Study on the Behavior and Design of a Novel Multistage Hydrogen Pressure-reducing Valve[J]. International Journal of Hydrogen Energy, 2022, 47(32): 14646-14657. |
| [8] | GUPTA A, BOKDE N, KULAT K, et al. Nodal Matrix Analysis for Optimal Pressure-reducing Valve Localization in a Water Distribution System[J]. Energies, 2020, 13(8): 1878. |
| [9] | LIU J R, JIN B, XIE Y J, et al. Research on the Electro-hydraulic Variable Valve Actuation System Based on a Three-way Proportional Reducing Valve[J]. International Journal of Automotive Technology, 2009, 10(1): 27-36. |
| [10] | SONG Yanhe, BA Kaixian, CHEN Xin, et al. Polynomial Excitation Current Compensation Control for Dead Zone and Hysteresis of Three-way Proportional Pressure Reducing Valve[J]. International Journal of Control, Automation and Systems, 2024, 22(7): 2142-2157. |
| [11] | 王涛, 姚蘅, 彭光正. 气动减压阀流量特性连续测量方法的研究[J]. 中国机械工程, 2011, 22(6): 636-641. |
| WANG Tao, YAO Heng, PENG Guangzheng. Study on Continuous Measurement Method of Flow Rate Characteristics for Pneumatic Regulator[J]. China Mechanical Engineering, 2011, 22(6): 636- 641. | |
| [12] | 彭育辉, 吴智洲, 黄育鹏, 等. 基于试验设计方法的双级CNG减压阀结构改进[J]. 中国机械工程, 2019, 30(20): 2512-2519. |
| PENG Yuhui, WU Zhizhou, HUANG Yupeng, et al. Structure Improvement on Two-stage CNG Pressure Regulators Based on Method of DOE[J]. China Mechanical Engineering, 2019, 30(20): 2512- 2519. | |
| [13] | 郑文明, 雷振尧, 张维中. 三通减压阀试验方法的研究[J]. 液压气动与密封, 2023, 43(7): 108-110. |
| ZHENG Wenming, LEI Zhenyao, ZHANG Weizhong. Research on Test Method of Three-way Pressure Reducing Valve[J]. Hydraulics Pneumatics & Seals, 2023, 43(7): 108-110. | |
| [14] | 姜一通, 赵玲, 费一尘, 等. 气室加载式先导减压阀动态特性分析与参数影响研究[J]. 液压与气动, 2022, 46(12): 160-167. |
| JIANG Yitong, ZHAO Ling, FEI Yichen, et al. Dynamic Characteristic and Parameter Influence Analysis of Chamber-loaded Pilot Pressure Regulator[J]. Chinese Hydraulics & Pneumatics, 2022, 46(12): 160-167. | |
| [15] | 程庄, 张君, 徐士彪, 等. 某型发动机用减压阀性能建模研究[J]. 机床与液压, 2023, 51(14): 195-201. |
| CHENG Zhuang, ZHANG Jun, XU Shibiao, et al. Research on Performance Modeling of Pressure Reducing Valve for a Certain Engine[J]. Machine Tool & Hydraulics, 2023, 51(14): 195-201. | |
| [16] | 秦新亚, 王学生, 刘延斌, 等. 某型导弹高压正向式减压阀静态特性分析[J]. 液压与气动, 2021, 45(11): 121-127. |
| QIN Xinya, WANG Xuesheng, LIU Yanbin, et al. Static Characteristics Analysis of a Missile High-pressure Positive Pressure Reducing Valve[J]. Chinese Hydraulics & Pneumatics, 2021, 45(11): 121-127. | |
| [17] | 刘文彩, 许勇. 自来水减压阀结构分析与优化设计[J]. 液压气动与密封, 2018, 38(9): 20-25. |
| LIU Wencai, XU Yong. Analysis and Optimization Design of Pressure Reducing Valve for Tap Water[J]. Hydraulics Pneumatics & Seals, 2018, 38(9): 20-25. | |
| [18] | 童成彪, 周志雄, 周源. 支持矢量回归机的参数优化及在智能减压阀压力预测中的应用[J]. 中国机械工程, 2016, 27(14): 1931-1935. |
| TONG Chengbiao, ZHOU Zhixiong, ZHOU Yuan. Parameter Optimization of Support Vector Regression and Its Applications to Pressure Prediction of Intelligent Pressure Reduce Valves[J]. China Mechanical Engineering, 2016, 27(14): 1931-1935. | |
| [19] | 刘斌, 李帅访, 刘钊. 活塞式减压阀出口压力波动及控制导阀改造[J]. 人民长江, 2022, 53(): 165-169. |
| LIU Bin, LI Shuaifang, LIU Zhao. Outlet Pressure Fluctuation of Piston-type Pressure Relief Valve and Controlling Guide Valve Transformation[J]. Yangtze River, 2022, 53(S2): 165-169. | |
| [20] | 张明, 臧辉, 郭志海, 等. 火箭增压输送系统减压阀出口压力性能改进研究[J]. 液压与气动, 2022, 46(12): 168-176. |
| ZHANG Ming, ZANG Hui, GUO Zhihai, et al. Improvement of Rocket Pressurization System Pneumatic Reducing Valve Pressure Performance[J]. Chinese Hydraulics & Pneumatics, 2022, 46(12): 168-176. | |
| [21] | 郭才冬, 邓真, 康喜华. 发动机减压阀异常噪声的分析及解决方案[J]. 内燃机, 2023, 39(2): 24-27. |
| GUO Caidong, DENG Zhen, KANG Xihua. Analysis and Solution of Noise of Pressure Reducing Valve of an Engine[J]. Internal Combustion Engines, 2023, 39(2): 24-27. |
| [1] | 孟朝中, 杨帆, 余家欣, 王宇强. 基于电液类比原理的水导激光水压脉动衰减器滤波特性[J]. 中国机械工程, 2025, 36(9): 1961-1967. |
| [2] | 邱冰静, 贾慕华, 励音骐, 吉刘斌. 基于试验测试的超重力离心模拟环境下加载缸稳压方案研究[J]. 中国机械工程, 2025, 36(8): 1651-1657. |
| [3] | 陈孟杰, 张琢, 欧阳武, 盛晨兴, 刘报, 刘伟. 转速和流量对轮缘驱动轴流泵压力脉动的影响[J]. 中国机械工程, 2025, 36(10): 2198-2206. |
| [4] | 石宇昂, 张磊, 谢罗涛, 尹路晗. 船用汽轮机极端变工况流场扰动及稳定运行特性[J]. 中国机械工程, 2025, 36(10): 2258-2265. |
| [5] | 苏世杰, 程泳钦, 胡毅, 何建辉, 杨书吉. 基于强化学习自适应鲁棒控制的异构双阀协调控制策略研究[J]. 中国机械工程, 2025, 36(10): 2335-2342. |
| [6] | 杨永辉, 祁奔, 王浩宇, 白振华. 连退机组直火加热工艺与控制技术的开发[J]. 中国机械工程, 2025, 36(10): 2397-2404. |
| [7] | 董伟光1, 刘爱华2, 宋屹峰2. 一种新型负压式爬壁机器人吸附特性分析[J]. 中国机械工程, 2025, 36(06): 1198-1205. |
| [8] | 刘宇超1, 习毅1, 张宇效2, 戴巨川1, 贺乐君1, 夏虎强2. 基于缸径与流量匹配的高空作业平台飞臂液压系统节能设计[J]. 中国机械工程, 2025, 36(06): 1290-1299. |
| [9] | 类兴茂1, 丁海港1, 2, 王思民3, 杨程程1, 庞智珍1. 基于自抗扰控制算法的负载敏感多路阀阀口压差精准调控[J]. 中国机械工程, 2025, 36(05): 954-962,973. |
| [10] | 陈俊翔1, 2, 姜宏达1, 2, 孔祥东1, 2, 艾超1, 2. 考虑时滞因素的负载口独立系统模式切换平稳性研究[J]. 中国机械工程, 2025, 36(03): 414-425. |
| [11] | 陶德华1, 王英2, 曹振新1, 李凝1, 胡礼广1, 宣仲义1, 蒋洪奎1. 多段变性Pascal蜗线齿轮传动特性分析[J]. 中国机械工程, 2025, 36(03): 475-482. |
| [12] | 潘志泳, 王亮, 金家楣, 邱建敏, 冯浩人. 贴片式圆盘定子多自由度超声电机的设计与实验[J]. 中国机械工程, 2025, 36(01): 38-46,58. |
| [13] | 严天祥1, 2, 宋检祥1, 2, 倪辉1, 2, 李先瑄1, 2, 陈虎城3. 伞状浮动阀压电泵的设计与试验[J]. 中国机械工程, 2024, 35(11): 1971-1976,1985. |
| [14] | 张迪嘉1, 2, 高路平2, 周少梁2, 高隆隆2, 李宝仁2. 高压气动压力伺服系统的鲁棒控制[J]. 中国机械工程, 2024, 35(07): 1141-1150. |
| [15] | 谢重, 文东辉, 成志超, 孔凡志. 线性液动压抛光流场的循环交变动压力衍生机制[J]. 中国机械工程, 2023, 34(19): 2288-2295. |
| 阅读次数 | ||||||
|
全文 |
|
|||||
|
摘要 |
|
|||||