中国机械工程 ›› 2025, Vol. 36 ›› Issue (10): 2198-2206.DOI: 10.3969/j.issn.1004-132X.2025.10.005

• 国家重点科技项目研究进展专栏 • 上一篇    

转速和流量对轮缘驱动轴流泵压力脉动的影响

陈孟杰1(), 张琢2, 欧阳武2,3,4(), 盛晨兴1,3,4, 刘报2,3,4, 刘伟5   

  1. 1.武汉理工大学船海与能源动力工程学院, 武汉, 430063
    2.武汉理工大学交通与物流工程学院, 武汉, 430063
    3.武汉理工大学水路交通控制全国重点实验室, 武汉, 430063
    4.武汉理工大学国家水运安全工程技术研究中心可靠性与新能源研究所, 武汉, 430063
    5.中国舰船研究中心, 武汉, 430064
  • 收稿日期:2024-10-25 出版日期:2025-10-25 发布日期:2025-11-05
  • 通讯作者: 欧阳武
  • 作者简介:陈孟杰,女,2000年生,硕士研究生。研究方向为绿色高效推进技术。E-mail:cccmagic@qq.com
    欧阳武*(通信作者),男,1987年生,教授、博士研究生导师。研究方向为绿色高效推进技术及推进系统摩擦与润滑技术。E-mail:ouyangw@whut.edu.cn
  • 基金资助:
    国家重点研发计划(2022YFB4300802)

Influences of Rotational Speed and Flow Rate on Pressure Pulsations of a Rim-driven Axial Flow Pump

Mengjie CHEN1(), Zhuo ZHANG2, Wu OUYANG2,3,4(), Chenxing SHENG1,3,4, Bao LIU2,3,4, Wei LIU5   

  1. 1.School of Naval Architecture,Ocean and Energy Power Engineering,Wuhan University of Technology,Wuhan,430063
    2.School of Transportation and Logistics Engineering,Wuhan University of Technology,Wuhan,430063
    3.State Key Laboratory of Maritime Technology and Safety,Wuhan University of Technology,Wuhan,430063
    4.National Engineering Research Center for Water Transport Safety,Wuhan University of Technology,Wuhan,430063
    5.China Ship Development and Design Center,Wuhan,430064
  • Received:2024-10-25 Online:2025-10-25 Published:2025-11-05
  • Contact: Wu OUYANG

摘要:

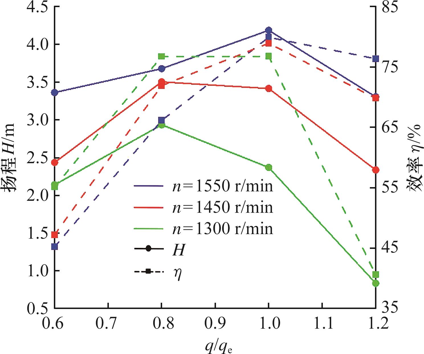
新型轮缘驱动轴流泵(RDP)在运行过程中存在压力脉动现象,影响泵的运行性能和系统稳定性。采用数值模拟方法分析了不同转速和流量工况下RDP的外特性与内部流动特性。结合本征正交分解(POD)方法,通过时空特征分解提取主要能量模态,研究了转速和流量对叶轮叶片尾缘压力脉动的影响,揭示了非线性效应与动静干涉现象之间的关系。研究结果表明,不同转速对应不同最佳工况点,随着转速的降低,RDP的最佳工况点向低流量方向偏移;压力脉动主要受非线性动力学行为影响,叶轮叶片和导叶叶片之间的非线性干涉效应在低转速和大流量工况下更加显著。

关键词: 轮缘驱动轴流泵, 压力脉动, 本征正交分解, 动静干涉, 转速, 流量

Abstract:

A novel RDP generated pressure pulsations during operations, which might negatively impact pump performance and system stability. The numerical simulation was employed to analyze the external characteristics and internal flow patterns of RDP under different rotational speeds and flow conditions. Utilizing POD, the main energy modes were extracted through spatiotemporal feature decomposition to investigate the influences of rotational speed and flow rate on the pressure pulsation at the trailing edges of the impeller blades, revealing the relationship between nonlinear dynamics and fluid-structure interaction phenomena. The results show that each rotational speed corresponds to a distinct optimal operating point, with the optimal point shifting towards lower flow rates as the rotational speed decreases. Moreover, the pressure pulsations are predominantly governed by nonlinear dynamics behavior, with nonlinear interaction effects between the impeller blades and guide vanes becoming more pronounced at lower rotational speeds and higher flow rates.

Key words: rim-driven axial flow pump(RDP), pressure pulsation, proper orthogonal decomposition (POD), rotor-stator interaction, rotational speed, flow rate

中图分类号: