中国机械工程 ›› 2026, Vol. 37 ›› Issue (2): 285-294.DOI: 10.3969/j.issn.1004-132X.2026.02.004

• 先进流体系统设计与优化专栏 • 上一篇    

空化与非空化下高速开关阀阀芯液压力特性研究

陈誉1,2(), 赵琛1, 何玉文1, 翟富刚1,2, 孔祥东1,2   

  1. 1.南京工程学院机械工程学院, 南京, 211167
    2.燕山大学机械工程学院, 秦皇岛, 066004
  • 收稿日期:2025-04-17 出版日期:2026-02-25 发布日期:2026-03-13
  • 通讯作者: 陈誉
  • 作者简介:陈 誉*(通信作者),男,1990年生,讲师。研究方向为液压系统流体动力传输、流体机械过渡过程及系统稳定调控等。E-mail:yuchen@njit.edu.cn
  • 基金资助:
    国家自然科学基金(52275068);河北省高层次人才项目(B2022003022);南京工程学院高层次引进人才科研启动基金(YKJ202131)

Research on Hydraulic Pressure Characteristics of High Speed Switching Valve under Cavitation and Non Cavitation Conditions

CHEN Yu1,2(), ZHAO Chen1, HE Yuwen1, ZHAI Fugang1,2, KONG Xiangdong1,2   

  1. 1.Department of Mechanical Engineering,Nanjing Institute of Technology,Nanjing,211167
    2.Department of Mechanical Engineering,Yanshan University,Qinhuangdao,Hebei,066004
  • Received:2025-04-17 Online:2026-02-25 Published:2026-03-13
  • Contact: CHEN Yu

摘要:

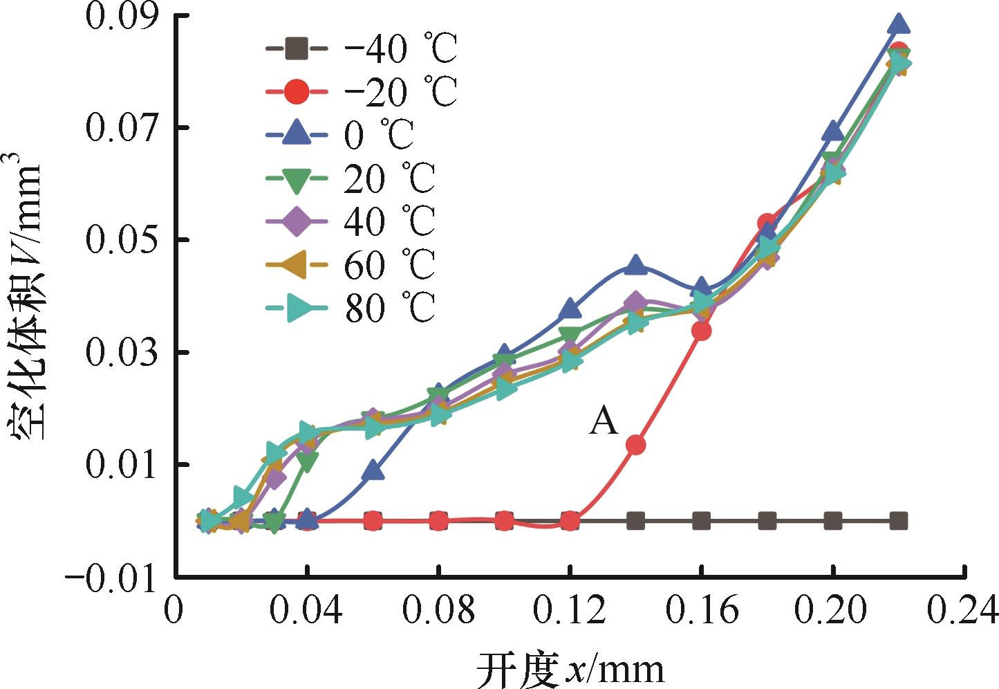
针对不同参数对高速开关阀液压力的影响,采用计算流体动力学(CFD)技术对阀内流场进行瞬态数值模拟。在非空化和空化工况下,分别探究压差、背压、温度对阀芯液压力的影响,揭示不同开度下的空化流场特性和阀芯液压力的演变;选取空化较严重的工况,探究空化波动和液压力振荡之间的关联。结果表明:随着开度的增加,阀芯所受液压力呈减小趋势;随着压差的不断增大,非空化工况阀芯液压力减幅远大于空化工况,在6 MPa与10 MPa压差下尤为明显;背压的增大一定程度上抑制了空化的发生,使得空化时的液压力呈近似线性减小,但几乎不影响非空化下的液压力大小;温度升高使小开度下更易发生空化,且空化时液压力演变更加平滑。另外,阀口空化产生的气泡以非对称“活塞”特性型式依次排出阀体,导致阀内气泡体积以1355 Hz主频周期性振荡,进一步诱导阀芯头部及整个阀体液压力以相同主频波动。

关键词: 高速开关阀, 空化, 液压力, 数值模拟

Abstract:

Aiming at the influences of different parameters on the hydraulic pressure of high-speed switching valves, the transient numerical simulation of the flow field in the valve was carried out by using computational fluid dynamics(CFD) technology. Under non-cavitation and cavitation conditions, the effects of pressure difference, back pressure and temperature on the hydraulic pressure of the valve cores were investigated respectively, and the cavitation flow field characteristics and the evolution of the hydraulic pressure of the valve cores under different opening degrees were revealed. The working conditions with severe cavitation were selected to explore the correlation between cavitation fluctuation and hydraulic pressure oscillation. The results show that with the increase of opening degree, the hydraulic pressure on the spool decreases. With the increase of pressure difference, the pressure drops of valve cores under non-cavitation conditions are much larger than that under cavitation conditions, especially under 6 MPa and 10 MPa pressure difference. The increase of back pressure restrains the occurrence of cavitation to a certain extent, which makes the liquid pressure during cavitation decrease approximately linearly, but almost does not affect the liquid pressure under non-cavitation. The increase of temperature makes cavitation more likely to occur under small opening, and the evolution of liquid pressure under cavitation is smoother. On the other hand, the bubbles generated by the cavitation of the valve ports are discharged from the valve body in an asymmetric ‘piston’ characteristic, which causes the bubble volume in the valve to oscillate periodically at the main frequency of 1355 Hz, and further induces the head of the valve core and the overall hydraulic pressure to fluctuate at the same main frequency.

Key words: high-speed switching valve, cavitation, hydraulic pressure, numerical simulation

中图分类号: