中国机械工程 ›› 2025, Vol. 36 ›› Issue (10): 2232-2240.DOI: 10.3969/j.issn.1004-132X.2025.10.009
• 机械基础工程 • 上一篇
收稿日期:2024-09-09
出版日期:2025-10-25
发布日期:2025-11-05
通讯作者:
刘伟渭
作者简介:刘伟渭*(通信作者),男,1984年生,博士研究生。研究方向为轨道车辆系统动力学。发表论文20余篇。E-mail:liuweiwei1592@163.com。
基金资助:
Weiwei LIU(
), Kuo LI, Xi YU, Shuangquan TANG
Received:2024-09-09
Online:2025-10-25
Published:2025-11-05
Contact:
Weiwei LIU
摘要:
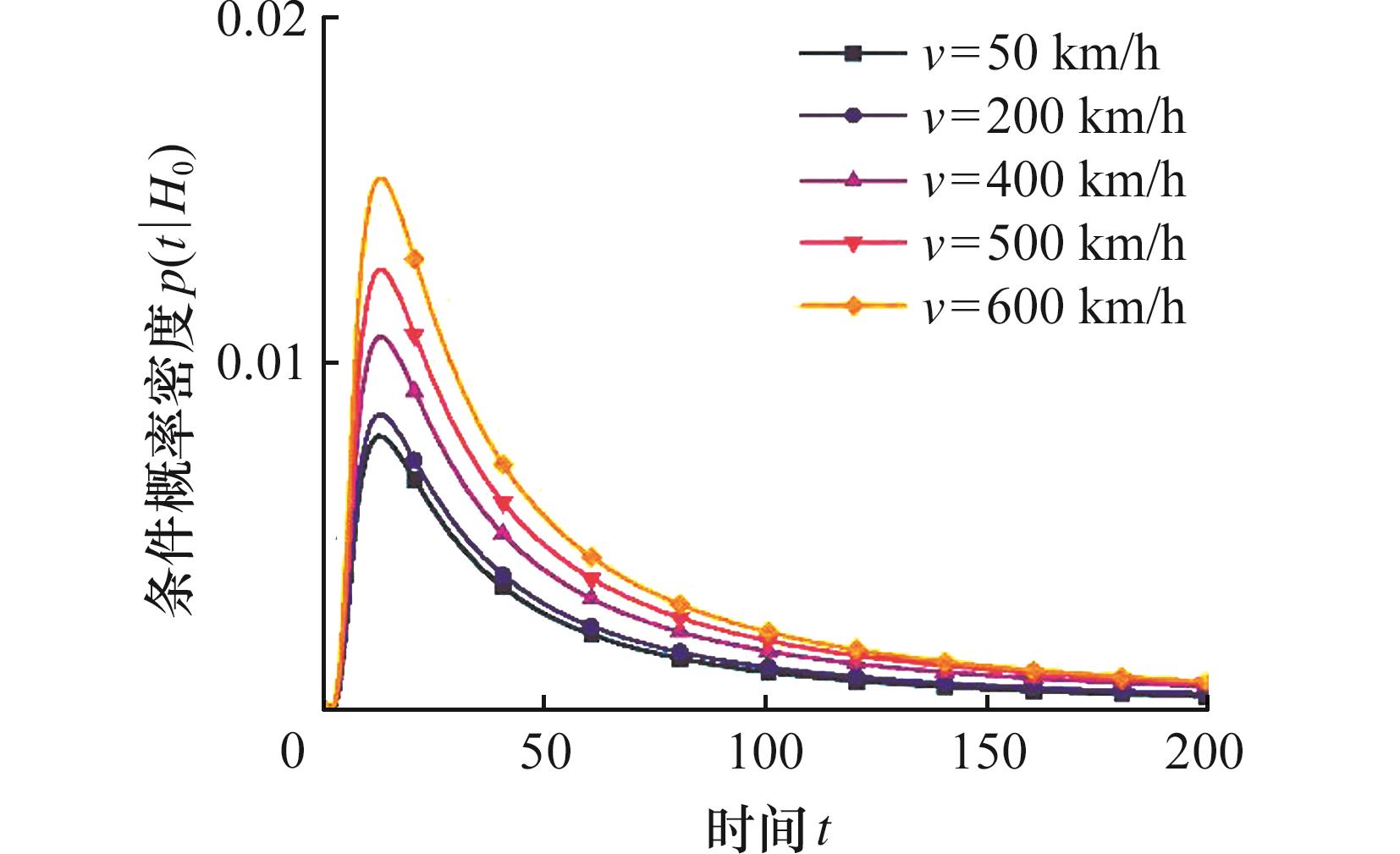
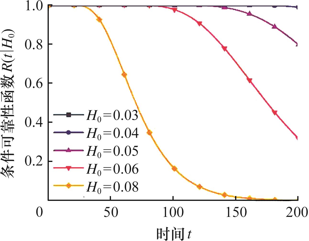
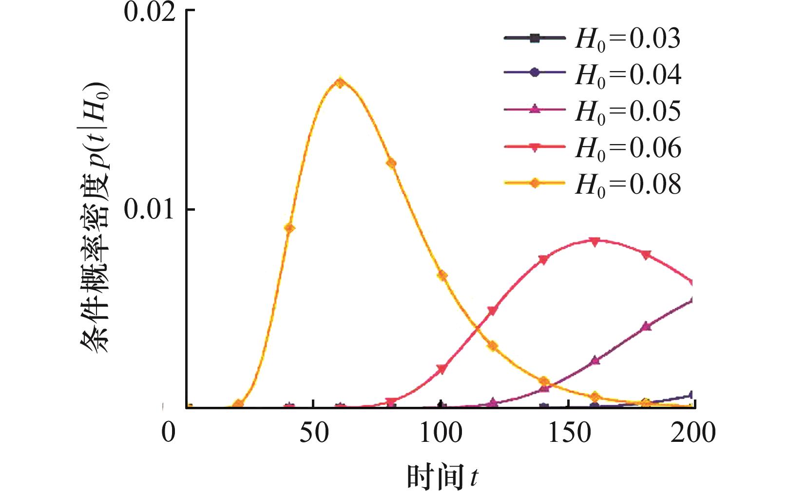
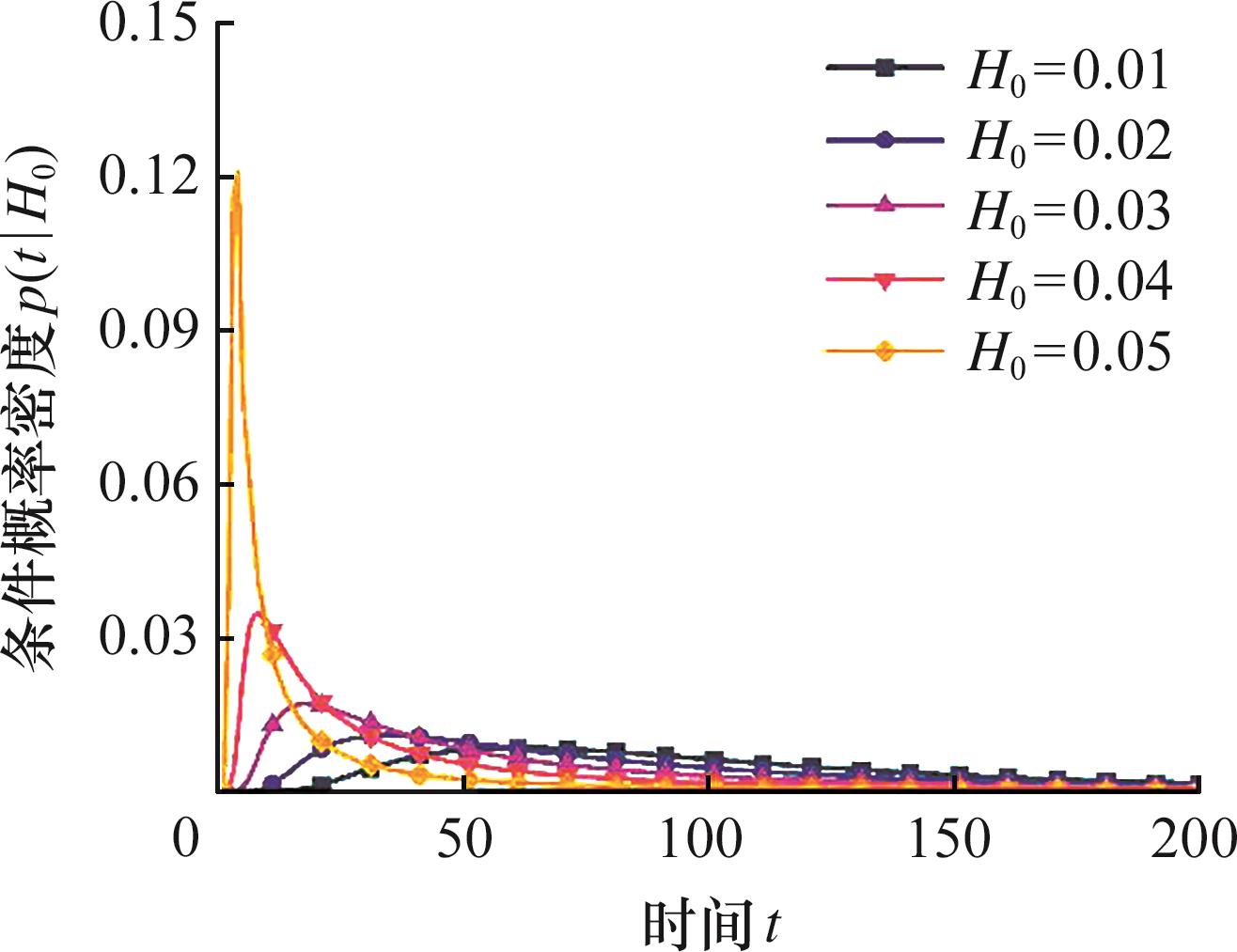
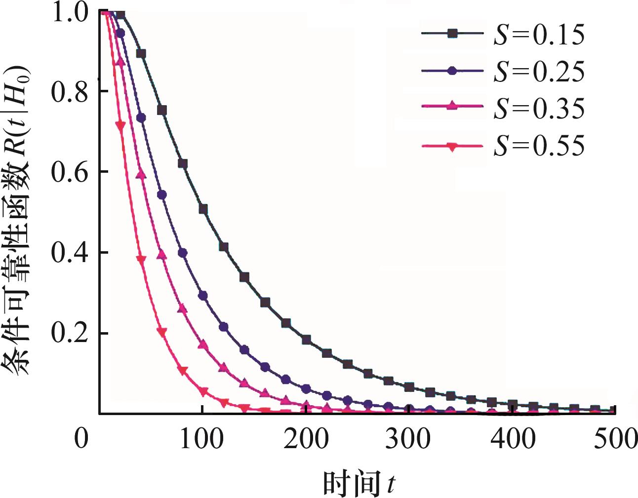
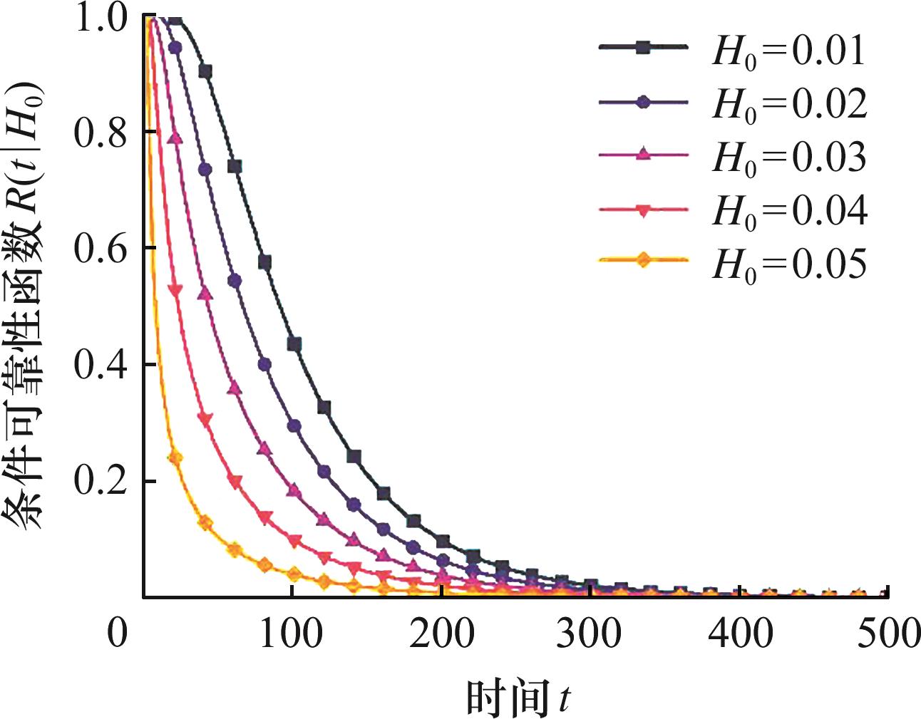
为了得到磁悬浮列车首次穿越失效特性,建立了随机参激和随机外激作用下常导电磁悬浮列车的动力学模型,在Hamilton理论框架下建立首次穿越可靠性函数,采用Crank-Nicolson差分法对后向Kolmogorov方程进行数值求解,探究初始能量、随机外激、随机参激、低随机激励和列车速度对磁悬浮列车首次穿越的影响。研究结果表明,初始能量的增大会使得发生首次穿越的时间提前;增大随机外激和随机参激都会使平均首次穿越时间减小,其中随机外激对平均首次穿越时间的影响程度要大于随机参激的影响;在低随机激励的作用下磁悬浮列车几乎不发生首次穿越;随着列车运行速度的提高,平均首次穿越时间也在减小,发生首次穿越失效的最大概率增大。
中图分类号:
刘伟渭, 李阔, 余玺, 唐爽权. 磁悬浮列车首次穿越失效可靠性研究[J]. 中国机械工程, 2025, 36(10): 2232-2240.
Weiwei LIU, Kuo LI, Xi YU, Shuangquan TANG. Research on First-passage failure and Reliability Analysis of Maglev Trains[J]. China Mechanical Engineering, 2025, 36(10): 2232-2240.
| 名称 | 数值 | 名称 | 数值 |
|---|---|---|---|
| 悬浮架质量 | 6100 kg | 车体非线性刚度系数 | |
| 车体质量 | 12 800 kg | 非线性阻尼系数 | |
| 悬挂线性刚度 | 85 kN/m | 等效磁动刚度K | 2 MN/m |
| 悬挂线性阻尼 | 10 kN·s/m | 等效磁动阻尼C | 35 kN·s/m |
| 悬浮架随机项控制参数 | 列车速度 | 120 m/s | |
车体随机项控制 参数 | 空气动力载荷 | — | |
| 轨道不平顺系数 | 电磁吸力 | — | |
空气动力不平顺 系数 | 标准悬浮间隙 | — | |
| 悬浮架非线性刚度系数 |
表1 EMS型磁悬浮车辆参数
Tab.1 EMS-type maglev vehicle parameters
| 名称 | 数值 | 名称 | 数值 |
|---|---|---|---|
| 悬浮架质量 | 6100 kg | 车体非线性刚度系数 | |
| 车体质量 | 12 800 kg | 非线性阻尼系数 | |
| 悬挂线性刚度 | 85 kN/m | 等效磁动刚度K | 2 MN/m |
| 悬挂线性阻尼 | 10 kN·s/m | 等效磁动阻尼C | 35 kN·s/m |
| 悬浮架随机项控制参数 | 列车速度 | 120 m/s | |
车体随机项控制 参数 | 空气动力载荷 | — | |
| 轨道不平顺系数 | 电磁吸力 | — | |
空气动力不平顺 系数 | 标准悬浮间隙 | — | |
| 悬浮架非线性刚度系数 |
| [1] | 熊嘉阳, 邓自刚. 高速磁悬浮轨道交通研究进展[J]. 交通运输工程学报, 2021, 21(1): 177-198. |
| XIONG Jiayang, DENG Zigang. Research Progress of High-speed Maglev Rail Transit[J]. Journal of Traffic and Transportation Engineering, 2021, 21(1):177-198. | |
| [2] | 翟婉明, 赵春发. 磁浮车辆/轨道系统动力学(Ⅰ)——磁/轨相互作用及稳定性[J]. 机械工程学报, 2005, 41(7):1-10. |
| ZHAI Wanming, ZHAO Chunfa. Dynamics of Maglev Vehicle/Guideway Systems (I): Magnet/Rail Interaction and System Stability[J]. Chinese Journal of Mechanical Engineering, 2005, 41(7):1-10. | |
| [3] | 胡俊雄, 雷成, 马卫华, 等. 中低速磁浮列车中置式悬浮架的耦合姿态分析[J]. 铁道学报, 2021, 43(10):29-35. |
| HU Junxiong, LEI Cheng, MA Weihua, et al. Coupling Posture Analysis of Mid-set Levitation Frame of Medium and Low Speed Maglev Train[J]. Journal of the China Railway Society, 2021, 43(10):29-35. | |
| [4] | 李小珍, 王渝文, 胡启凯, 等. 不同桥跨对中低速磁浮列车-简支梁系统竖向耦合振动影响机理研究[J]. 振动与冲击, 2022, 41(19):8-15. |
| LI Xiaozhen, WANG Yuwen, HU Qikai, et al. Influence Mechanisms of Different Bridge Spans on Vertical Coupled Vibration of Low and Medium Speed Maglev Train-simply Supported Beam System[J]. Journal of Vibration and Shock, 2022, 41(19):8-15. | |
| [5] | 刘伟渭, 姜瑞金, 刘凤伟, 等. 约束轮对首次穿越失效的随机非线性最优控制[J]. 铁道学报, 2018, 40(6):30-35. |
| LIU Weiwei, JIANG Ruijin, LIU Fengwei, et al. Stochastic Nonlinear Optimal Control for First-passage Failure of Constrained Wheelset[J]. Journal of the China Railway Society, 2018, 40(6):30-35. | |
| [6] | 于建志, 陈永生. 磁浮列车自动驾驶系统控制策略及可靠性研究[J]. 计算机应用, 2010, 30(12):3419-3422. |
| YU Jianzhi, CHEN Yongsheng. Control Strategy and Reliability Study of Maglev Automatic Train Operation System[J]. Journal of Computer Applications, 2010, 30(12):3419-3422. | |
| [7] | XU Y S, LONG Z Q, ZHAO Z G, et al. Real-time Stability Performance Monitoring and Evaluation of Maglev Trains' Levitation System:a Data-driven Approach[J]. IEEE Transactions on Intelligent Transportation Systems, 2022, 23(3):1912-1923. |
| [8] | 张龙文, 卢朝辉, 赵衍刚. 基于平稳非高斯结构响应前四阶矩的首次穿越概率计算[J]. 振动与冲击, 2018, 37(1):128-135. |
| ZHANG Longwen, LU Zhaohui, ZHAO Yangang. First Passage Probability Assessment Based on the First Four Moments of the Stationary Non-Gaussian Structural Responses[J]. Journal of Vibration and Shock, 2018, 37(1):128-135. | |
| [9] | LIU L, XU W, YANG G D, et al. Reliability and Control of Strongly Nonlinear Vibro-impact System under External and Parametric Gaussian Noises[J]. Science China Technological Sciences, 2020, 63(9):1837-1845. |
| [10] | ZHU W Q, WU Y J. First-passage Time of Duffing Oscillator under Combined Harmonic and White-noise Excitations[J]. Nonlinear Dynamics, 2003, 32(3):291-305. |
| [11] | WANG L, DENG Z G, WANG H D, et al. Dynamic Responses of HTS Maglev System under Track Random Irregularity[J]. IEEE Transactions on Applied Superconductivity, 2020, 30(4):1-7. |
| [12] | XU J Q, CHEN C, SUN Y G, et al. Nonlinear Dynamic Analysis of Maglev Vehicle Based on Flexible Guideway and Random Irregularity[J]. International Journal of Applied Electromagnetics and Mechanics, 2019, 60(2):263-280. |
| [13] | 陈琛, 徐俊起, 荣立军, 等. 轨道随机不平顺下磁浮车辆非线性动力学特性[J]. 交通运输工程学报, 2019, 19(4):115-124. |
| CHEN Chen, XU Junqi, RONG Lijun, et al. Nonlinear Dynamics Characteristics of Maglev Vehicle under Track Random Irregularities[J].Journal of Traffic and Transportation Engineering, 2019, 19(4):115-124. | |
| [14] | 王连春, 李金辉, 周丹峰, 等. 磁浮列车-桥梁耦合自激振动机理分析与仿真验证[J]. 振动与冲击, 2017, 36(18):13-19. |
| WANG Lianchun, LI Jinhui, ZHOU Danfeng, et al. Principle Analysis and Simulation Verification on the Vehicle-bridge Coupled Self-excited Vibration of Maglevs[J]. Journal of Vibration and Shock, 2017, 36(18):13-19. | |
| [15] | 黎燕霞, 徐磊. 磁浮列车随机稳定性及首次穿越问题研究[J]. 铁道科学与工程学报, 2021,18(11):2806-2815. |
| LI Yanxia, XU Lei. Reserch on Stochastic Stability and First-passage of a Maglev Vehicle[J]. Journal of Railway Science and Engineering, 2021,18(11):2806-2815. | |
| [16] | 吴晗, 曾晓辉. 气动升力下磁浮车辆非线性响应研究[J]. 机械工程学报, 2021, 57(14):223-231. |
| WU Han, ZENG Xiaohui. Nonlinear Dynamics of Malev Vehicle under Aerodynamic Lift[J]. Journal of Mechanical Engineering, 2021, 57(14):223-231. | |
| [17] | WU H, ZENG X H, GAO D G, et al. Dynamic Stability of an Electromagnetic Suspension Maglev Vehicle under Steady Aerodynamic Load[J]. Applied Mathematical Modelling, 2021, 97:483-500. |
| [18] | 陈志贤, 李忠继, 杨吉忠, 等. 常导高速电磁悬浮车辆二系悬挂结构对比优化[J]. 机械工程学报, 2022, 58(10):160-168. |
| CHEN Zhixian, LI Zhongji, YANG Jizhong, et al. Comparison and Optimization of Secondary Suspension Structure of High Speed EMS Vehicle[J]. Journal of Mechanical Engineering, 2022, 58(10):160-168. | |
| [19] | SUN J J, ZHU W Q, JIANG W D, et al. Reliability of a Class of Nonlinear Systems under Switching Random Excitations[J]. Nonlinear Dynamics, 2020, 99(3):2083-2094. |
| [20] | 刘扬. 对流扩散方程的新型Crank-Nicholson差分格式[J]. 数学杂志, 2005, 25(4):463-467. |
| LIU Yang. A New Crank-Nicholson Difference Scheme for Convection-diffusion Equations[J]. Journal of Mathematics, 2005, 25(4):463-467. |
| [1] | 田海龙1, 2, 孙雨治1, 2, 杨兆军1, 2, 刘志峰1, 2, 陈传海1, 2, 何佳龙1, 2. 数控机床可靠性的故障模式、影响及危害分析研究现状及发展趋势[J]. 中国机械工程, 2025, 36(07): 1430-1441. |
| [2] | 王治超1, 刘超1, 冉琰2, 陈一凡3, 蒋东翔1, 张根保2, 3. 考虑分布和传递模型的机械系统可靠性分配方法[J]. 中国机械工程, 2025, 36(06): 1143-1150. |
| [3] | 张磊1, 2, 3, 孙学涛1, 2, 陈洁1, 2, 孙远波3, 郭佳佳1, 2, 郑杰1, 2. 汽车结构可靠性分析与优化设计研究进展[J]. 中国机械工程, 2024, 35(11): 1948-1962,1970. |
| [4] | 宋海征1, 2, 周长聪1, 2, 李磊1, 2, 林华刚1, 2, 岳珠峰1, 2. 一种基于AK-MCS-K的失效概率函数估计方法[J]. 中国机械工程, 2024, 35(05): 784-791. |
| [5] | 张威1, 2, 谢俊1, 杜彦斌1, 冉琰3, 张根保3, 4. 考虑双重不确定性的机械产品元动作可靠性分配方法[J]. 中国机械工程, 2024, 35(05): 802-810. |
| [6] | 冯洪1, 齐金平2, 刘晓宇1, 李鸿伟1, 燕大强3, 付录生4. 考虑随机变失效阈值的多相关退化可靠性建模[J]. 中国机械工程, 2024, 35(05): 811-820. |
| [7] | 李健1, 2, 王宏伟3, 慕宗燚3, 杜彦斌1, 冉琰4. 考虑性能稳定性的机械系统可靠性分配方法研究[J]. 中国机械工程, 2024, 35(05): 821-828,850. |
| [8] | 关存贺1, 2, 许高斌1, 2, 蒋京奇1, 2, 王焕章1, 2, 陈兴1, 2, 马渊明1, 2. 多负载环境下微加速度计的可靠性建模与分析[J]. 中国机械工程, 2024, 35(05): 860-868. |
| [9] | 王正, 马同玲, 王博文, 顾美丹. 膜片式微通道预冷器换热微细管束振动分析与可靠性评价方法[J]. 中国机械工程, 2024, 35(05): 869-876,885. |
| [10] | 闫利军1, 李广岐1, 刘勤2, 高景洲1, 宋华斌1, 骆小平1. 大口径火炮弹协调器机构可靠性优化设计研究[J]. 中国机械工程, 2024, 35(05): 877-885. |
| [11] | 钱萍, 陈驰, 陈文华, 吴山奇, 郭明达. 电连接器用聚氨酯胶密封件贮存可靠性统计模型的加速试验验证与评估[J]. 中国机械工程, 2024, 35(05): 886-894. |
| [12] | 高进, 崔海冰, 樊涛, 李昂, 杜尊峰. 一种基于自适应Kriging集成模型的结构可靠性分析方法[J]. 中国机械工程, 2024, 35(01): 83-92. |
| [13] | 张明亮, 杨大伟, 李明远, 杨新梦, 刘丽茹, 张连朋. 永磁轨道参数优化和悬浮力特性研究[J]. 中国机械工程, 2023, 34(19): 2370-2380. |
| [14] | 屈小章, 张加贝, 翟方志. 非随机载荷不确定的机车侧墙过滤系统两相流可靠性分析[J]. 中国机械工程, 2023, 34(15): 1881-1889. |
| [15] | 赵雷雷, 于曰伟, 曹建虎, 高尚鹏, 周长城, 袁建. 新型准零刚度非线性悬置座椅特性分析与参数匹配[J]. 中国机械工程, 2023, 34(01): 36-46. |
| 阅读次数 | ||||||
|
全文 |
|
|||||
|
摘要 |
|
|||||