China Mechanical Engineering ›› 2026, Vol. 37 ›› Issue (3): 717-725.DOI: 10.3969/j.issn.1004-132X.2026.03.021
JIN Miao, QIN Rui, LI Wenyu JIN Miao, LI Xiaolong, LUO Linfeng, ZHANG Qingling
Received:2025-02-27
Online:2026-03-25
Published:2026-04-08
金淼, 秦锐, 李文玉, 金淼, 李小龙, 罗林丰, 张庆玲(
)
通讯作者:
张庆玲
作者简介:基金资助:CLC Number:
JIN Miao, QIN Rui, LI Wenyu JIN Miao, LI Xiaolong, LUO Linfeng, ZHANG Qingling. Multi-directional Die Forging Forming Process and Grain Structure Evolution Prediction of Large High-pressure Valve Bodies[J]. China Mechanical Engineering, 2026, 37(3): 717-725.
金淼, 秦锐, 李文玉, 金淼, 李小龙, 罗林丰, 张庆玲. 大型高压阀体多向模锻成形工艺及晶粒组织演变预测[J]. 中国机械工程, 2026, 37(3): 717-725.
Add to citation manager EndNote|Ris|BibTeX
URL: https://www.cmemo.org.cn/EN/10.3969/j.issn.1004-132X.2026.03.021
| w(C) | w(Mn) | w(Si) | w(Cr) | w(Ni) | w(Mo) | w(Fe) |
|---|---|---|---|---|---|---|
| 0.29 | 0.557 | 0.319 | 1.04 | 0.04 | 0.261 | 余量 |
Tab.1 Chemical compositions of 4130 steel for testing(mass fraction)
| w(C) | w(Mn) | w(Si) | w(Cr) | w(Ni) | w(Mo) | w(Fe) |
|---|---|---|---|---|---|---|
| 0.29 | 0.557 | 0.319 | 1.04 | 0.04 | 0.261 | 余量 |
| 工艺条件 | 范围 |
|---|---|
| 温度/°C | 850、1000、1100、1150、1200、1250 |
| 应变速率/s-1 | 0.01、0.1、1、5 |
| 变形程度/% | 60 |
Tab.2 The processing parameters of hot deformation
| 工艺条件 | 范围 |
|---|---|
| 温度/°C | 850、1000、1100、1150、1200、1250 |
| 应变速率/s-1 | 0.01、0.1、1、5 |
| 变形程度/% | 60 |
| 变形温度/℃ | 应变速率/s-1 | 应变 | |
|---|---|---|---|
| 条件1 | 1150 | 0.1 | 1.2 |
| 条件2 | 1000 | 5 | 0.6 |
| 条件3 | 1100 | 5 | 1.2 |
| 条件4 | 1000 | 1 | 0.35 |
Tab. 3 Deformation conditions of the sampling
| 变形温度/℃ | 应变速率/s-1 | 应变 | |
|---|---|---|---|
| 条件1 | 1150 | 0.1 | 1.2 |
| 条件2 | 1000 | 5 | 0.6 |
| 条件3 | 1100 | 5 | 1.2 |
| 条件4 | 1000 | 1 | 0.35 |
| 再结晶体积分数(%) | 再结晶晶粒尺寸(μm) | 残余原始晶粒尺寸(μm) | 平均晶粒尺寸(μm) | ||
|---|---|---|---|---|---|
| 条件1 | 模型求解值 | 100 | 68 | 0 | 68 |
| 实际测量值 | 100 | 65 | 0 | 65 | |
| 条件2 | 模型求解值 | 12 | 14 | 91 | 81 |
| 实际测量值 | 11 | 16 | 93 | 84 | |
| 条件3 | 模型求解值 | 100 | 31 | 0 | 31 |
| 实际测量值 | 100 | 32 | 0 | 32 | |
| 条件4 | 模型求解值 | 1 | 7 | 94 | 92 |
| 实际测量值 | 1 | 9 | 89 | 85 | |
Tab.4 Comparison of dynamic recrystallization parameters
| 再结晶体积分数(%) | 再结晶晶粒尺寸(μm) | 残余原始晶粒尺寸(μm) | 平均晶粒尺寸(μm) | ||
|---|---|---|---|---|---|
| 条件1 | 模型求解值 | 100 | 68 | 0 | 68 |
| 实际测量值 | 100 | 65 | 0 | 65 | |
| 条件2 | 模型求解值 | 12 | 14 | 91 | 81 |
| 实际测量值 | 11 | 16 | 93 | 84 | |
| 条件3 | 模型求解值 | 100 | 31 | 0 | 31 |
| 实际测量值 | 100 | 32 | 0 | 32 | |
| 条件4 | 模型求解值 | 1 | 7 | 94 | 92 |
| 实际测量值 | 1 | 9 | 89 | 85 | |
| [1] | 拱中秋. 海洋油气开采用深水闸阀关键技术研究[D]. 哈尔滨: 哈尔滨工程大学, 2017. |
| GONG Zhongqiu. Research on Key Technology of Deepwater Gate Valve for Marine Oil and Gas Exploitation[D]. Harbin: Harbin Engineering University, 2017. | |
| [2] | 聂俊礽, 王峥, 邢健博, 等. 基于数值模拟的QT500-7固定底座砂型铸造工艺优化研究[J]. 金属加工(热加工), 2025(2): 140-146. |
| NIE Junreng, WANG Zheng, XING Jianbo, et al. Optimization of Sand Casting Process for QT500-7 Fixed Base via Numerical Simulation[J]. MW Metal Forming, 2025(2): 140-146. | |
| [3] | 张家伟, 王金业, 吴艳丽, 等. 球阀阀体的两种多向模锻成形工艺探究[J]. 锻造与冲压, 2023(7): 41-43. |
| ZHANG Jiawei, WANG Jinye, WU Yanli, et al. Research on Two Multi-directional Die Forging Process of Ball Valve Body[J]. Forging & Metalforming, 2023(7): 41-43. | |
| [4] | 胡红磊. 水平带法兰阀体多向模锻工艺研究[D]. 秦皇岛: 燕山大学, 2015. |
| HU Honglei. Study on Multiple-ram Forging Process of Level Flanged Valve[D]. Qinhuangdao: Yanshan University, 2015. | |
| [5] | 顾文俊. 空排止回阀阀体多向模锻工艺研究[D]. 合肥: 合肥工业大学, 2019. |
| GU Wenjun. Research on Multidirectional Forging Process for Check Valve Body[D]. Hefei: Hefei University of Technology, 2019. | |
| [6] | 殷华英. 基于有限元模拟的四通阀体多向模锻工艺研究[J]. 材料科学与工艺, 2022, 30(2): 81-90. |
| YIN Huaying. Multi-directional Die Forging Process for Four-way Valve Body Based on Finite Element Simulation[J]. Materials Science and Technology, 2022, 30(2): 81-90. | |
| [7] | 熊文涵. 三通阀体多向模锻工艺有限元仿真及工艺参数优化[D]. 秦皇岛: 燕山大学, 2024. |
| XIONG Wenhan. Finite Element Simulation and Process Parameter Optimization of Multi-direction Die Forging for Three-way Valve Body[D]. Qinhuangdao: Yanshan University, 2024. | |
| [8] | 李岩杰, 臧振东, 李立勋, 等. 含V微合金钢连铸坯高温热塑性的表征及应用[J]. 中国冶金, 2025, 35(1): 70-76. |
| LI Yanjie, ZANG Zhendong, LI Lixun, et al. Characterization and Application of High Temperature Thermoplasticity of V-containing Microalloyed Steel Continuous Casting Billets[J]. China Metallurgy, 2025, 35(1): 70-76. | |
| [9] | ZHANG Rui, LI Zhou, SHENG Xiaofei, et al. Grain Refinement and Mechanical Properties Improvements in a High Strength Cu⁃Ni⁃Si Alloy during Multidirectional Forging[J]. Fusion Engineering and Design, 2020, 159: 111766. |
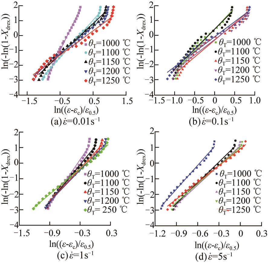
| [10] | 罗林丰. 4130钢阀体多向模锻过程晶粒演化及数值模拟研究[D]. 秦皇岛: 燕山大学, 2021. |
| LUO Linfeng. Study on Grain Evolution and Numerical Simulation of 4130 Steel Valve Body in Multi-directional Die Forging Process[D]. Qinhuangdao: Yanshan University, 2021. | |
| [11] | 向彪, 孙朝远, 陈雷. F22高强钢的热变形行为与晶粒组织预测[J]. 塑性工程学报, 2022, 29(9): 144-150. |
| XIANG Biao, SUN Chaoyuan, CHEN Lei. Hot Deformation Behavior and Grain Structure Prediction of F22 High-strength Steel[J]. Journal of Plasticity Engineering, 2022, 29(9): 144-150. | |
| [12] | 王庆娟, 张昭, 杜忠泽, 等. B55SiCr钢的高温流变行为及动态再结晶临界条件[J]. 钢铁, 2024, 59(4): 168-178. |
| WANG Qingjuan, ZHANG Zhao, DU Zhongze, et al. High-temperature Flow Behavior and Critical Conditions of Dynamic Recrystallization of B55SiCr Steel[J]. Iron & Steel, 2024, 59(4): 168-178. | |
| [13] | 侯成浩, 周楠, 黎小辉, 等. MgAlLiZnTi轻质高熵合金的热变形行为与热加工图研究[J]. 材料研究与应用,2023,17(4): 612-618. |
| HOU Chenghao, ZHOU Nan, LI Xiaohui, et al. Study on Thermal Deformation Behavior and Hot Working Diagram of MgAlLiZnTi Light High Entropy Alloy[J]. Materials Research and Application, 2023,17(4): 612-618. | |
| [14] | 房芳, 李继文, 魏世忠, 等. 烧结态W-80Cu合金高温压缩变形行为及本构关系[J]. 河南科技大学学报(自然科学版), 2019, 40(6): 1-7. |
| FANG Fang, LI Jiwen, WEI Shizhong, et al. High Temperature Compression Deformation Behavior and Constitutive Relationship of Sintered W-80Cu Alloy[J]. Journal of Henan University of Science and Technology (Natural Science), 2019, 40(6): 1-7. | |
| [15] | 周潼, 程军, 王克鲁, 等. Ti2AlNb基合金热变形行为及加工图研究[J]. 中国机械工程, 2025, 36(11): 2757-2765. |
| ZHOU Tong, CHENG Jun, WANG Kelu, et al. Hot Deformation Behavior and Processing Maps of Ti2AlNb-based Alloys[J]. China Mechanical Engineering, 2025, 36(11): 2757-2765. | |
| [16] | POLIAK E I, JONAS J J. Initiation of Dynamic Recrystallization in Constant Strain Rate Hot Deformation[J]. ISIJ International, 2003, 43(5): 684-691. |
| [17] | 陈国鑫, 桑宝光, 刘宏伟, 等. H13钢高温热变形特征与动态再结晶行为[J]. 塑性工程学报, 2022, 29(6): 193-202. |
| CHEN Guoxin, SANG Baoguang, LIU Hongwei, et al. Hot Deformation Characteristics and Dynamic Recrystallization Behavior of H13 Steel at High Temperature[J]. Journal of Plasticity Engineering, 2022, 29(6): 193-202. | |
| [18] | 丁小凤, 赵富强. 挤压态镁合金动态再结晶临界模型[J]. 重型机械, 2020(5): 31-35. |
| DING Xiaofeng, ZHAO Fuqiang. Critical Model on Dynamic Recrystallization of As-extruded Magnesium Alloys[J]. Heavy Machinery, 2020(5): 31-35. | |
| [19] | 王涛, 曹澜川, 万志鹏, 等. GH4720Li铸态合金热变形动态再结晶预测[J]. 热加工工艺, 2022, 51(8): 48-52. |
| WANG Tao, CAO Lanchuan, WAN Zhipeng, et al. Prediction on Dynamic Recrystallization of GH4720Li Cast Superalloy during Hot Deformation[J]. Hot Working Technology, 2022, 51(8): 48-52. | |
| [20] | 胡志强, 王开坤, 崔磊, 等. 退火态42CrMo钢的热变形行为[J]. 塑性工程学报, 2023, 30(2): 125-134. |
| HU Zhiqiang, WANG Kaikun, CUI Lei, et al. Hot Deformation Behavior of Annealed 42CrMo Steel[J]. Journal of Plasticity Engineering, 2023, 30(2): 125-134. | |
| [21] | WANG Zhongtang, ZHANG Shihong, CHENG Ming, et al. Kinematics and Dynamics Model of GH4169 Alloy for Thermal Deformation[J]. Journal of Iron and Steel Research International, 2010, 17(7): 75-78. |
| [22] | LIU J, CUI Z, RUAN L. A New Kinetics Model of Dynamic Recrystallization for Magnesium Alloy AZ31B[J]. Materials Science and Engineering: A, 2011, 529: 300-310. |
| [23] | THOMAS J P, BAUCHET E, DUMONT C, et al. EBSD Investigation and Modeling of the Microstructural Evolutions of Superalloy 718 during Hot Deformation[C]∥Proceedings of the 10th International Symposium on Superalloys(Superalloys 2004). Pennsylvania, 2004: 959-968. |
| [24] | TANG Xuefeng, WANG Baoyu, HUO Yuanming, et al. Unified Modeling of Flow Behavior and Microstructure Evolution in Hot Forming of a Ni-based Superalloy[J]. Materials Science and Engineering: A, 2016, 662: 54-64. |
| [25] | ITO Y, HOSHI N, HAYAKAWA T, et al. Mechanical Properties and Biological Responses of Ultrafine-grained Pure Titanium Fabricated by Multi-directional Forging[J]. Materials Science and Engineering: B, 2019, 245: 30-36. |
| [1] | ZHANG Hongjian1;WEN Weidong1,2;CUI Haitao1;XIAO Jianfeng1. Study on Dynamic Recovery/Recrystallization Constitutive Behaviors of Alloy IC10 [J]. China Mechanical Engineering, 2017, 28(18): 2256-2261. |
| [2] | Pan Guangyong, Yu Xinping, Ma Xiujin. Simulation and Experiments for Isothermal Free Forging Processes of 20CrMnSiNi2MoA Drilling Steel [J]. China Mechanical Engineering, 2016, 27(21): 2956-2961. |
| [3] | SHU Hua-Dao, CHENG Chao, GONG Wen-Wei, BANG Wen-Fei, SUN Bao-Shou. Analysis of Microstructure Evolution of Extruded Cross Wedge Rolling for Small Remnant Rolling [J]. China Mechanical Engineering, 2013, 24(15): 2109-2113. |
| [4] | BO Pin-Li, ZHONG Di-Xian, MA Qiang-Xian, YUAN Chao-Long, SHU Sai-Yang. #br# Research on Deformation Property of 316LN Nuclear Main Pipe Steel at Elevated Temperature [J]. China Mechanical Engineering, 2012, 23(11): 1354-1359. |
| [5] | LIU Xin, ZHONG Di-Xian, MA Qiang-Xian, YUAN Chao-Long-. null [J]. China Mechanical Engineering, 2010, 21(05): 603-606. |
| [6] | Chen Yonglu;Chen Wenzhe;Chen Dinggui;Hong Lihua;Fu Gaosheng. Influence of Strain on the Hot Deformation Behavior of Al-1Mn-1Mg Alloy [J]. J4, 2008, 19(7): 0-761. |
| [7] | Dong Lanfeng;Zhong Yuexian;Ma Qingxian;Yuan Chaolong. Research on the Dynamic Recrystallization Behavior of 20SiMn [J]. J4, 2008, 19(10): 0-1253. |
| Viewed | ||||||
|
Full text |
|
|||||
|
Abstract |
|
|||||