中国机械工程 ›› 2025, Vol. 36 ›› Issue (10): 2179-2189.DOI: 10.3969/j.issn.1004-132X.2025.10.003

• 国家重点科技项目研究进展专栏 • 上一篇    下一篇

8Cr4Mo4V轴承钢微观裂纹萌生与扩展机制的分子动力学模拟

马天宇1,2(), 巩固1,2, 曹宏瑞1,2(), 史江海1,2, 尉询楷3, 章立军4   

  1. 1.西安交通大学航空动力系统与等离子体技术全国重点实验室, 西安, 710049
    2.西安交通大学机械工程学院, 西安, 710049
    3.北京航空工程技术研究中心, 北京, 100076
    4.北京科技大学国家材料服役安全科学中心, 北京, 100083
  • 收稿日期:2024-09-29 出版日期:2025-10-25 发布日期:2025-11-05
  • 通讯作者: 曹宏瑞
  • 作者简介:马天宇,男,1996年生,博士研究生。研究方向为航空发动机轴承微观损伤机理。E-mail:matianyu@stu.xjtu.edu.cn
    曹宏瑞*(通信作者),男,1982年生,教授、博士研究生导师。研究方向为航空发动机全生命周期数字孪生建模、非平稳信号处理与运行状态智能监控技术。E-mail:chr@mail.xjtu.edu.cn
  • 基金资助:
    国家科技重大专项(J2019-IV-0004-0071);材料服役安全研究评价设施开放项目(MSAF-2023-004)

Molecular Dynamics Simulation of Microscopic Crack Initiation and Extension Mechanism in 8Cr4Mo4V Bearing Steels

Tianyu MA1,2(), Gu GONG1,2, Hongrui CAO1,2(), Jianghai SHI1,2, Xunkai WEI3, Lijun ZHANG4   

  1. 1.National Key Lab of Aerospace Power System and Plasma Technology,Xi'an Jiaotong University,Xi'an,710049
    2.School of Mechanical Engineering,Xi'an Jiaotong University,Xi'an,710049
    3.Beijing Aeronautical Engineering Technical Research Center,Beijing,100076
    4.National Center for Materials Service Safety,University of Science and Technology Beijing,Beijing,100083
  • Received:2024-09-29 Online:2025-10-25 Published:2025-11-05
  • Contact: Hongrui CAO

摘要:

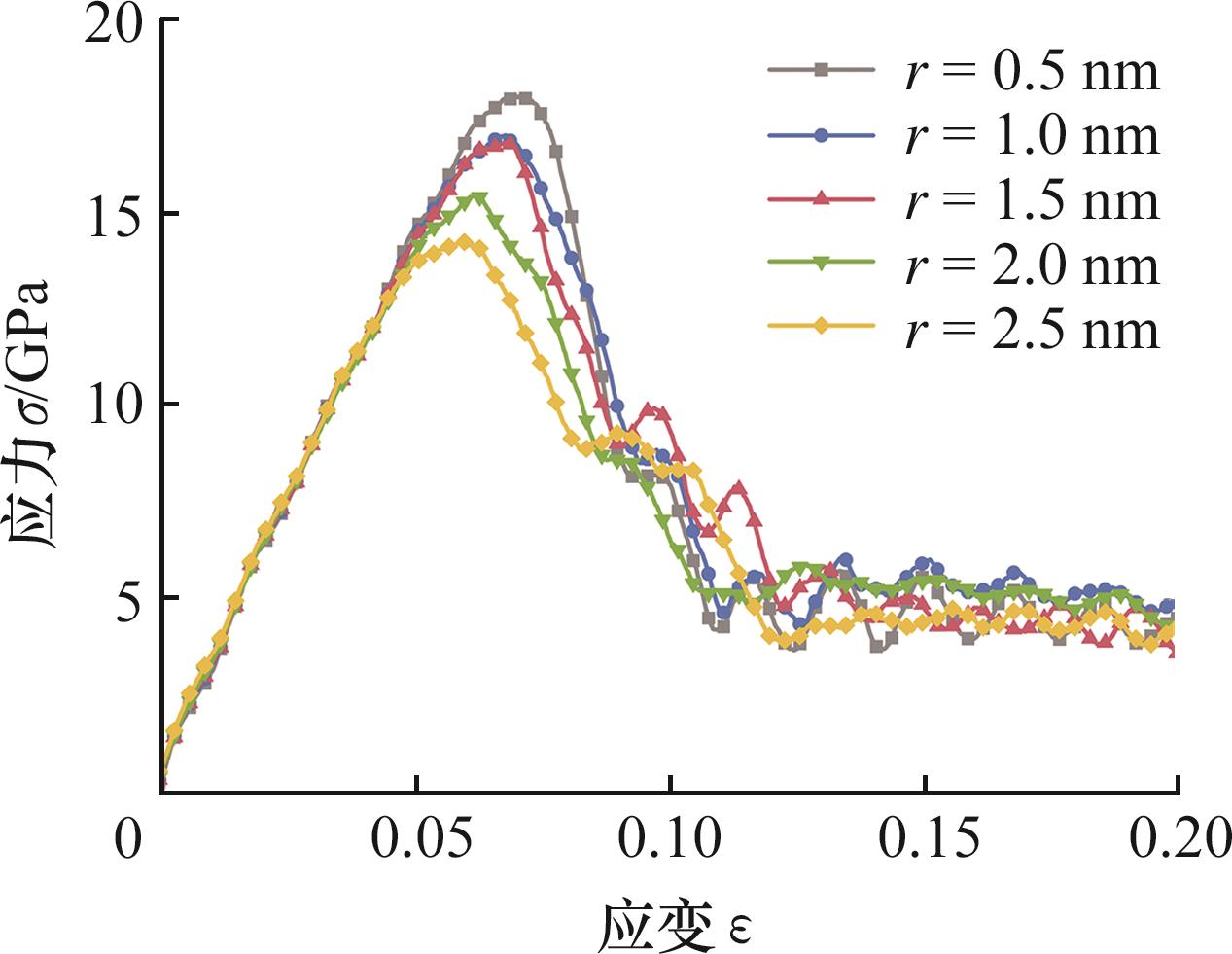
为研究8Cr4Mo4V轴承钢中渗碳体对基体力学性能及微裂纹萌生与扩展的影响,采用分子动力学方法系统分析了渗碳体的几何参数(如形状、尺寸、位置)对裂纹萌生和扩展的影响机制,并结合内聚力理论研究了界面裂纹扩展特性。研究结果表明:渗碳体显著提高了bcc-Fe基体的力学性能,渗碳体尺寸越小,它对基体力学性能的增强效果越显著;渗碳体的形状和位置对力学性能影响较小,但尖锐的夹杂加速了裂纹扩展,且夹杂的位置决定了裂纹的扩展路径;在bcc-Fe基体与渗碳体间的界面和错向角较大的孪晶界面,裂纹更难萌生。

关键词: 8Cr4Mo4V轴承钢, 渗碳体, 分子动力学, 裂纹扩展, 内聚力参数

Abstract:

To investigate the influences of cementite on the mechanics properties of the matrix and the initiation and propagation of microcracks in 8Cr4Mo4V bearing steels, molecular dynamics models were used to systematically analyze the effects of cementite's geometric parameters (such as shape, size, and position) on crack initiation and extension mechanism. And combined with cohesive force theory, the characteristics of interface crack propagation were studied. The results indicate that cementite significantly enhances the mechanics properties of the bcc-Fe matrix, with smaller cementite particles providing a more pronounced strengthening effectiveness. While the shape and position of cementite exert a relatively minor impact on overall mechanics performance, sharper inclusions accelerate crack propagation, and the position of inclusions determines the crack propagation path. Furthermore, interfaces between the bcc-Fe matrix and cementite, as well as twin boundaries with larger misorientation angles, exhibit increased resistance to crack initiation and propagation.

Key words: 8Cr4Mo4V bearing steel, cementite, molecular dynamics, crack extension, cohesive parameter

中图分类号: