中国机械工程 ›› 2025, Vol. 36 ›› Issue (9): 2057-2067.DOI: 10.3969/j.issn.1004-132X.2025.09.018
• 智能制造 • 上一篇
李明范1,2(), 杨龙3,4, 李晟5, 郭欢6, 付国强3,4(
)
收稿日期:
2024-08-13
出版日期:
2025-09-25
发布日期:
2025-10-15
通讯作者:
付国强
作者简介:
李明范,男,1976 年生,博士、高级工程师。研究方向为机电一体化产品开发、传感与检测技术。E-mail:Leesapper@163.com基金资助:
Mingfan LI1,2(), Long YANG3,4, Sheng LI5, Huan GUO6, Guoqiang FU3,4(
)
Received:
2024-08-13
Online:
2025-09-25
Published:
2025-10-15
Contact:
Guoqiang FU
摘要:
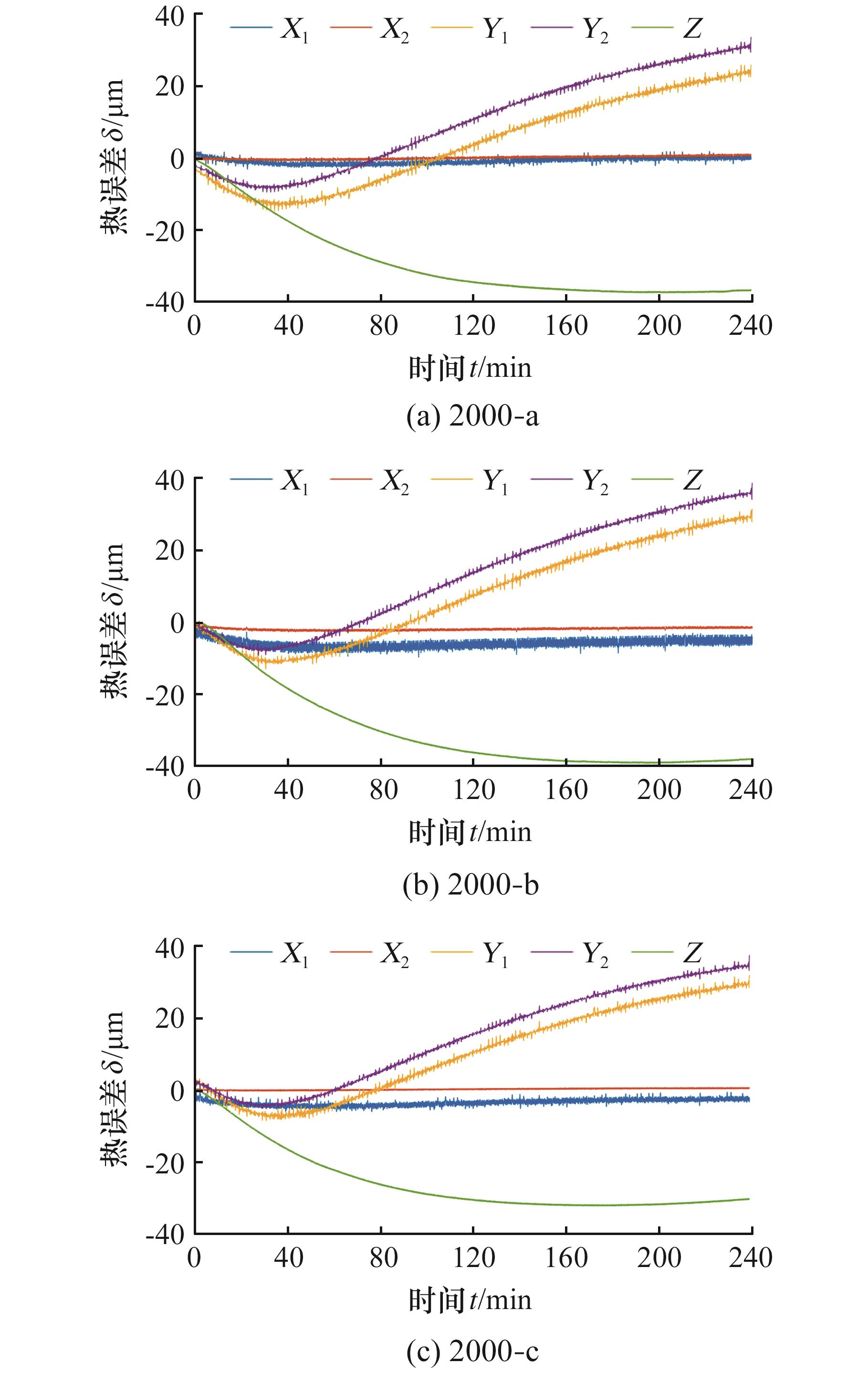
为了获得高精度高泛化的机床热误差模型,提出了以热图像为输入的基于ResNet的数控机床主轴热误差建模方法。构建以热误差取整为标签的热图像数据集,训练以热图像为输入的热误差ResNet分类预测模型。在此基础上,针对机床热误差时序序列的回归特性,将分类输出层的不同标签值对应的概率通过加权集成方式构建回归输出层,实现热误差回归预测,无需重新训练。对热图像深度特征和ResNet分类模型的分类效果进行可视化分析,验证ResNet模型对热图像特征提取的有效性以及良好的分类能力。最后,将ResNet模型与GoogLeNet和VGGNet模型在不同工况下进行比较,分别验证ResNet热误差分类模型和回归模型的高精度和高泛化性。
中图分类号:
李明范, 杨龙, 李晟, 郭欢, 付国强. 以热图像为输入的基于ResNet的机床主轴热误差建模方法[J]. 中国机械工程, 2025, 36(9): 2057-2067.
Mingfan LI, Long YANG, Sheng LI, Huan GUO, Guoqiang FU. Thermal Image Input-based ResNet Method for Thermal Error Modeling of Machine Tool Spindles[J]. China Mechanical Engineering, 2025, 36(9): 2057-2067.
实验序号 | 固定转速/ (r·min-1) | 实验时长/h | 热图像采样频率/ min-1 |
---|---|---|---|
2000-a | 2000 | 4 | 0.5 |
2000-b | |||
2000-c | |||
3000-a | 3000 | ||
3000-b | |||
3000-c | |||
4000-a | 4000 | ||
4000-b | |||
4000-c |
表1 实验工况设置
Tab.1 Experimental conditions setting
实验序号 | 固定转速/ (r·min-1) | 实验时长/h | 热图像采样频率/ min-1 |
---|---|---|---|
2000-a | 2000 | 4 | 0.5 |
2000-b | |||
2000-c | |||
3000-a | 3000 | ||
3000-b | |||
3000-c | |||
4000-a | 4000 | ||
4000-b | |||
4000-c |
训练轮数N | 最大残差 | MAE |
---|---|---|
50 | 8.7982 | 1.0625 |
100 | 4.6753 | 0.6158 |
150 | 1.8097 | 0.4184 |
表3 不同训练轮数下的回归模型指标 (μm)
Tab.3 Regression model metrics for different epoches
训练轮数N | 最大残差 | MAE |
---|---|---|
50 | 8.7982 | 1.0625 |
100 | 4.6753 | 0.6158 |
150 | 1.8097 | 0.4184 |
温度传感器 | T1 | T2 | T3 | T4 | T6 |
---|---|---|---|---|---|
相关系数R | 0.9269 | 0.8692 | 0.8571 | 0.9310 | 0.8767 |
表4 温度变量与热变形相关系数
Tab.4 Correlation coefficients between temperature variables and thermal deformation
温度传感器 | T1 | T2 | T3 | T4 | T6 |
---|---|---|---|---|---|
相关系数R | 0.9269 | 0.8692 | 0.8571 | 0.9310 | 0.8767 |
模型 | 最大残差 | RMSE | MAE |
---|---|---|---|
ResNet | 5 | 1.65 | 0.84 |
GoogLeNet | 7 | 2.35 | 1.42 |
VGGNet | 6 | 2.39 | 1.76 |
表5 2000 r/min下不同模型的误差值 (μm)
Tab.5 Errors of different models at 2000 r/min
模型 | 最大残差 | RMSE | MAE |
---|---|---|---|
ResNet | 5 | 1.65 | 0.84 |
GoogLeNet | 7 | 2.35 | 1.42 |
VGGNet | 6 | 2.39 | 1.76 |
转速/ (r·min-1) | 模型 | 最大残差/μm | RMSE/μm | MAE/μm |
---|---|---|---|---|
3000 | ResNet | 6 | 1.72 | 0.98 |
GoogLeNet | 7 | 2.31 | 1.53 | |
VGGNet | 7 | 2.41 | 1.58 | |
4000 | ResNet | 6 | 1.66 | 0.93 |
GoogLeNet | 7 | 2.43 | 1.85 | |
VGGNet | 6 | 2.52 | 1.77 |
表6 3000 r/min和4000 r/min下不同模型的误差值
Tab.6 Errors of different models at 3000 r/min and 4000 r/min
转速/ (r·min-1) | 模型 | 最大残差/μm | RMSE/μm | MAE/μm |
---|---|---|---|---|
3000 | ResNet | 6 | 1.72 | 0.98 |
GoogLeNet | 7 | 2.31 | 1.53 | |
VGGNet | 7 | 2.41 | 1.58 | |
4000 | ResNet | 6 | 1.66 | 0.93 |
GoogLeNet | 7 | 2.43 | 1.85 | |
VGGNet | 6 | 2.52 | 1.77 |
模型 | 最大残差 | RMSE | MAE |
---|---|---|---|
ResNet | 4.64 | 1.59 | 1.05 |
GoogLeNet | 6.17 | 2.38 | 1.68 |
VGGNet | 6.31 | 2.41 | 1.85 |
表7 2000 r/min下回归模型结果 (μm)
Tab.7 Regression model results at 2000 r/min
模型 | 最大残差 | RMSE | MAE |
---|---|---|---|
ResNet | 4.64 | 1.59 | 1.05 |
GoogLeNet | 6.17 | 2.38 | 1.68 |
VGGNet | 6.31 | 2.41 | 1.85 |
模型 | 最大残差 | RMSE | MAE |
---|---|---|---|
ResNet | 5.75 | 1.68 | 1.07 |
GoogLeNet | 6.93 | 2.44 | 1.65 |
VGGNet | 7.38 | 2.51 | 1.65 |
表8 3000 r/min下回归模型结果 (μm)
Tab.8 Regression model results at 3000 r/min
模型 | 最大残差 | RMSE | MAE |
---|---|---|---|
ResNet | 5.75 | 1.68 | 1.07 |
GoogLeNet | 6.93 | 2.44 | 1.65 |
VGGNet | 7.38 | 2.51 | 1.65 |
模型 | 最大残差 | RMSE | MAE |
---|---|---|---|
ResNet | 5.95 | 1.73 | 1.25 |
GoogLeNet | 6.37 | 2.40 | 1.83 |
VGGNet | 6.16 | 2.52 | 1.95 |
表9 4000 r/min下回归模型结果 (μm)
Tab.9 Regression model results at 4000 r/min
模型 | 最大残差 | RMSE | MAE |
---|---|---|---|
ResNet | 5.95 | 1.73 | 1.25 |
GoogLeNet | 6.37 | 2.40 | 1.83 |
VGGNet | 6.16 | 2.52 | 1.95 |
模型 | 最大残差 | RMSE | MAE |
---|---|---|---|
ResNet | 5 | 1.69 | 1.24 |
GoogLeNet | 8 | 2.59 | 2.04 |
VGGNet | 7 | 2.64 | 2.04 |
表10 2000 r/min下Y方向不同回归模型的误差值 (μm)
Tab.10 Errors of different regression models in Y-direction at 2000 r/min
模型 | 最大残差 | RMSE | MAE |
---|---|---|---|
ResNet | 5 | 1.69 | 1.24 |
GoogLeNet | 8 | 2.59 | 2.04 |
VGGNet | 7 | 2.64 | 2.04 |
[1] | 黄智, 刘永超, 邓涛, 等. 一种五轴数控机床热误差建模方法[J]. 中国机械工程, 2020, 31(13):1529-1538. |
HUANG Zhi, LIU Yongchao, DENG Tao, et al. A Method for Thermal Error Modeling of FAMT[J]. China Mechanical Engineering, 2020, 31(13):1529-1538. | |
[2] | MAYR J, JEDRZEJEWSKI J, UHLMANN E, et al. Thermal Issues in Machine Tools[J]. CIRP Annals, 2012, 61(2):771-791. |
[3] | 史和轩. 基于实验建模法的机床直线轴几何-热误差综合建模[D]. 吉林:东北电力大学, 2023. |
SHI Hexuan. Comprehensive Geometric-Thermal Error Modeling of Machine Tool Linear Axes Based on Experimental Modeling Method [D]. Jilin:Northeast Dianli University, 2023. | |
[4] | 许可. WL1600重型数控卧车热误差分析及其补偿研究[D]. 成都:电子科技大学, 2016. |
XU Ke. Thermal Error Analysis and Compensation Research of WL1600 Heavy-duty CNC Horizontal Lathe [D]. Chengdu:University of Electronic Science and Technology of China, 2016. | |
[5] | LI Guolong, TANG Xiaodong, LI Zheyu, et al. The Temperature-sensitive Point Screening for Spindle Thermal Error Modeling Based on IBGOA-feature Selection[J]. Precision Engineering, 2022, 73:140-152. |
[6] | LIU Yuchi, LI Kunying, TSAI Y C. Spindle Thermal Error Prediction Based on LSTM Deep Learning for a CNC Machine Tool[J]. Applied Sciences, 2021, 11(12):5444. |
[7] | CHENG Qiang, QI Zhuo, ZHANG Guojun, et al. Robust Modelling and Prediction of Thermally Induced Positional Error Based on Grey Rough Set Theory and Neural Networks[J]. The International Journal of Advanced Manufacturing Technology, 2016, 83(5):753-764. |
[8] | 罗勇, 邵珠峰, 王立平, 等. NL201HA数控卧式车床X轴热误差建模及补偿[J]. 清华大学学报(自然科学版), 2021, 61(1):28-35. |
LUO Yong, SHAO Zhufeng, WANG Liping, et al. X-axis Thermal Error Modeling and Compensation for an NL201HA CNC Horizontal Lathe[J]. Journal of Tsinghua University (Science and Technology), 2021, 61(1):28-35. | |
[9] | HAN Yue, DENG Xiaolei, CHEN Yushen, et al. Multi-verse Optimizer for Thermal Error Modeling Approach of Spindle System Based on Thermal Image[J]. Advances in Mechanical Engineering, 2024, 16(6):16878132241254181. |
[10] | YANG Zeqing, LIU Beibei, ZHANG Yanrui, et al. Intelligent Sensing of Thermal Error of CNC Machine Tool Spindle Based on Multi-source Information Fusion[J]. Sensors, 2024, 24(11):3614. |
[11] | 赵海涛, 冯伟, 周海, 等. 基于热误差敏感度图的温度关键点选择方法[J]. 上海交通大学学报, 2015, 49(5):725-729. |
ZHAO Haitao, FENG Wei, ZHOU Hai, et al. Method for Selection of Temperature Key Points Based on Thermal Error Sensitivity Images and Genetic Optimization[J]. Journal of Shanghai Jiao Tong University, 2015, 49(5):725-729. | |
[12] | WU Chengyang, XIANG Sitong, XIANG Wansheng. Thermal Error Modeling of Rotary Axis Based on Convolutional Neural Network[J]. Journal of Manufacturing Science and Engineering, 2021, 143(5):051013. |
[13] | WU Chengyang, XIANG Sitong, XIANG Wansheng. Spindle Thermal Error Prediction Approach Based on Thermal Infrared Images:a Deep Learning Method[J]. Journal of Manufacturing Systems, 2021, 59:67-80. |
[14] | 房芳. 基于热图像的数控机床主轴热误差鲁棒建模技术研究[D]. 宁波:宁波大学, 2020. |
FANG Fang. Research on Robust Thermal Error Modeling Technology of CNC Machine Tool Spindles Based on Thermal Images [D]. Ningbo:Ningbo University, 2020. | |
[15] | 马剑超, 项四通. 基于改进卷积神经网络的数控机床旋转轴热误差建模方法[J]. 宁波大学学报(理工版), 2023, 36(2):108-115. |
MA Jianchao, XIANG Sitong. Thermal Error Modeling Method for Rotary Axis of CNC Machine Tool Based on Improved Convolutional Neural Network[J]. Journal of Ningbo University (Natural Science & Engineering Edition), 2023, 36(2):108-115. | |
[16] | HE K, ZHANG X, REN S,et al. Deep Residual Learning for Image Recognition[C]∥2016 IEEE Conference on Computer Vision and Pattern Recognition(CVPR). Las Vegas, 2016:770-778. |
[17] | JALIL A J, REDA N M. Infrared Thermal Image Gender Classifier Based on the Deep ResNet Model[J]. Advances in Human-Computer Interaction, 2022, 2022(1):3852054. |
[18] | CHANDRA S, AlMANSOOR K, CHEN Cheng, et al. Deep Learning Based Infrared Thermal Image Analysis of Complex Pavement Defect Conditions Considering Seasonal Effect[J]. Sensors, 2022, 22(23):9365. |
[1] | 党旭, 刘涛, 闫敏, 安锋. 薄壁复杂变截面涡旋盘精密铣削组合参数优选与铣削力准确预测[J]. 中国机械工程, 2024, 35(11): 1963-1970. |
[2] | 张玉存1;崔妍1;付献斌2;孙世烜3. 搅拌摩擦焊核心区温度在线检测方法[J]. 中国机械工程, 2019, 30(14): 1658-1664,1672. |
[3] | 何翔, 高宏力, 郭亮, 吴远昊. 基于AR模型和谱熵的自适应小波包络检测[J]. 中国机械工程, 2017, 28(03): 348-352. |
[4] | 童成彪, 周志雄, 周, 源. 支持矢量回归机的参数优化及在智能减压阀压力预测中的应用[J]. 中国机械工程, 2016, 27(14): 1931-1935. |
阅读次数 | ||||||
全文 |
|
|||||
摘要 |
|
|||||